이번 포스팅에서는 Image segmentation에 대해서 실습해보도록 하겠습니다.
Image segmentation은 이미지에서 개체가 있는 위치, 해당 개체의 모양, 그리고 어떤 픽셀이 어떤 객체에 속하는 지를 분류하는 Task입니다.
즉 다시 말해서, 이미지 전체를 여러가지 class로 분류하겠다는 것입니다.
1. 사용할 패키지 불러오기.
import tensorflow as tf
from tensorflow_examples.models.pix2pix import pix2pix
import tensorflow_datasets as tfds
tfds.disable_progress_bar()
from IPython.display import clear_output
import matplotlib.pyplot as plt
import를 활용하여 사용할 패키지를 불어왔습니다.
2. 데이터 불러오기.
이번 실습에서 사용할 데이터는 Oxford-IIIT 데이터셋입니다.
해당 데이터셋의 이미지에 속하는 픽셀들은 총 3가지분류를 가집니다.
- Class 1: 애완동물에 속한 픽셀
- Class 2: 애완동물과 인접한 픽셀
- Class 3: 위의 두 가지에 해당하지 않는 주변 픽셀
dataset, info = tfds.load('oxford_iiit_pet:3.*.*', with_info=True)
이미지 전처리를 진행하도록 하겠습니다.
(1) 이미지 Resize
(2) 이미지 Augmentation (좌우 대칭)
(3) 픽셀의 값을 0~1로 Normalize
def normalize(input_image, input_mask):
input_image = tf.cast(input_image, tf.float32) / 255.0
input_mask -= 1
return input_image, input_mask
@tf.function
def load_image_train(datapoint):
input_image = tf.image.resize(datapoint['image'], (128, 128))
input_mask = tf.image.resize(datapoint['segmentation_mask'], (128, 128))
if tf.random.uniform(()) > 0.5:
input_image = tf.image.flip_left_right(input_image)
input_mask = tf.image.flip_left_right(input_mask)
input_image, input_mask = normalize(input_image, input_mask)
return input_image, input_mask
Test 데이터셋에 대해서는 (1)과 (3)만 진행하겠습니다.
def load_image_test(datapoint):
input_image = tf.image.resize(datapoint['image'], (128, 128))
input_mask = tf.image.resize(datapoint['segmentation_mask'], (128, 128))
input_image, input_mask = normalize(input_image, input_mask)
return input_image, input_mask
그리고 배치사이즈만큼 데이터를 쪼개도록 하겠습니다.
TRAIN_LENGTH = info.splits['train'].num_examples
BATCH_SIZE = 64
BUFFER_SIZE = 1000
STEPS_PER_EPOCH = TRAIN_LENGTH // BATCH_SIZE
train = dataset['train'].map(load_image_train, num_parallel_calls=tf.data.experimental.AUTOTUNE)
test = dataset['test'].map(load_image_test)
train_dataset = train.cache().shuffle(BUFFER_SIZE).batch(BATCH_SIZE).repeat()
train_dataset = train_dataset.prefetch(buffer_size=tf.data.experimental.AUTOTUNE)
test_dataset = test.batch(BATCH_SIZE)
데이터를 한 번 확인해보도록 하겠습니다.
def display(display_list):
plt.figure(figsize=(15, 15))
title = ['Input Image', 'True Mask', 'Predicted Mask']
for i in range(len(display_list)):
plt.subplot(1, len(display_list), i+1)
plt.title(title[i])
plt.imshow(tf.keras.preprocessing.image.array_to_img(display_list[i]))
plt.axis('off')
plt.show()
for image, mask in train.take(1):
sample_image, sample_mask = image, mask
display([sample_image, sample_mask])

귀여운 토끼가 보이네요!
3. 모델 정의
이번에 사용할 모델은 U-Net입니다.
U-Net은 Encoder와 Decoder로 나뉘어집니다.
저희는 Encoder로 pre-train 된 MobileNetV2와 Decoder로는 pix2pix모델에서 사용되는 Upsampler를 사용하겠습니다.
(1) Encoder
base_model = tf.keras.applications.MobileNetV2(input_shape=[128, 128, 3], include_top=False)
# 이 층들의 활성화를 이용합시다
layer_names = [
'block_1_expand_relu', # 64x64
'block_3_expand_relu', # 32x32
'block_6_expand_relu', # 16x16
'block_13_expand_relu', # 8x8
'block_16_project', # 4x4
]
layers = [base_model.get_layer(name).output for name in layer_names]
# 특징추출 모델을 만듭시다
down_stack = tf.keras.Model(inputs=base_model.input, outputs=layers)
down_stack.trainable = False
(2) Decoder
up_stack = [
pix2pix.upsample(512, 3), # 4x4 -> 8x8
pix2pix.upsample(256, 3), # 8x8 -> 16x16
pix2pix.upsample(128, 3), # 16x16 -> 32x32
pix2pix.upsample(64, 3), # 32x32 -> 64x64
]
(3) Full model
def unet_model(output_channels):
inputs = tf.keras.layers.Input(shape=[128, 128, 3])
x = inputs
# 모델을 통해 다운샘플링합시다
skips = down_stack(x)
x = skips[-1]
skips = reversed(skips[:-1])
# 건너뛰기 연결을 업샘플링하고 설정하세요
for up, skip in zip(up_stack, skips):
x = up(x)
concat = tf.keras.layers.Concatenate()
x = concat([x, skip])
# 이 모델의 마지막 층입니다
last = tf.keras.layers.Conv2DTranspose(
output_channels, 3, strides=2,
padding='same') #64x64 -> 128x128
x = last(x)
return tf.keras.Model(inputs=inputs, outputs=x)
4. 모델 훈련
model = unet_model(OUTPUT_CHANNELS)
model.compile(optimizer='adam',
loss=tf.keras.losses.SparseCategoricalCrossentropy(from_logits=True),
metrics=['accuracy'])
Optimizer로는 가장 많이쓰이는 Adam을 활용하겠습니다.
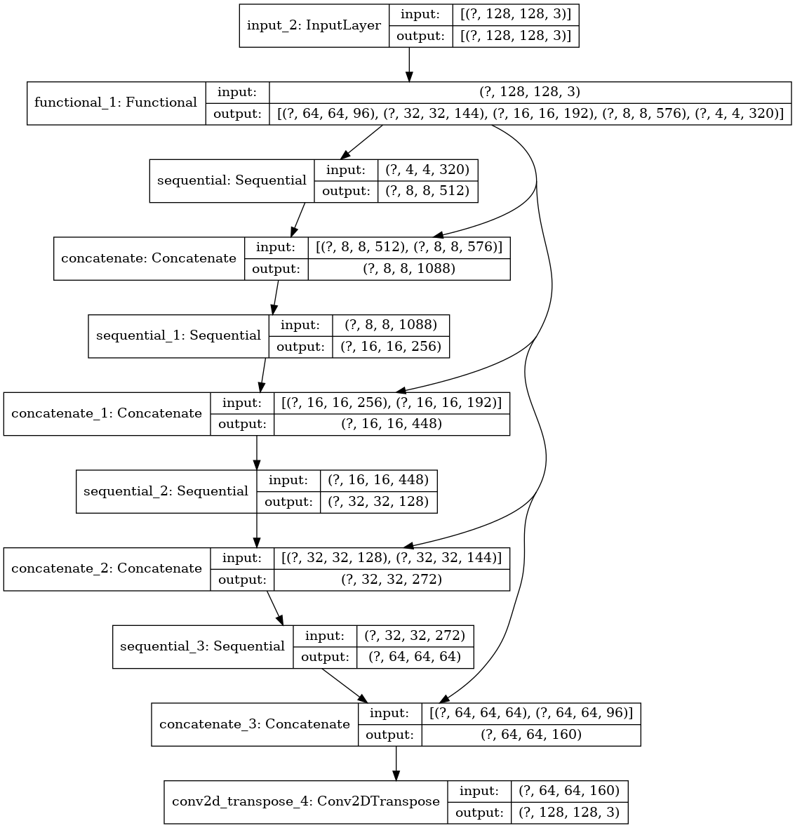
이제 만들어진 모델의 구조를 살펴보겠습니다.
tf.keras.utils.plot_model(model, show_shapes=True)

한번 예측이 어떻게 나오는지 확인해볼까요?
def create_mask(pred_mask):
pred_mask = tf.argmax(pred_mask, axis=-1)
pred_mask = pred_mask[..., tf.newaxis]
return pred_mask[0]
def show_predictions(dataset=None, num=1):
if dataset:
for image, mask in dataset.take(num):
pred_mask = model.predict(image)
display([image[0], mask[0], create_mask(pred_mask)])
else:
display([sample_image, sample_mask,
create_mask(model.predict(sample_image[tf.newaxis, ...]))])
show_predictions()

아직은 잘 안되어있는 모습입니다.
한번 학습을 진행해보도록 하겠습니다.
class DisplayCallback(tf.keras.callbacks.Callback):
def on_epoch_end(self, epoch, logs=None):
clear_output(wait=True)
show_predictions()
print ('\n에포크 이후 예측 예시 {}\n'.format(epoch+1))
EPOCHS = 20
VAL_SUBSPLITS = 5
VALIDATION_STEPS = info.splits['test'].num_examples//BATCH_SIZE//VAL_SUBSPLITS
model_history = model.fit(train_dataset, epochs=EPOCHS,
steps_per_epoch=STEPS_PER_EPOCH,
validation_steps=VALIDATION_STEPS,
validation_data=test_dataset,
callbacks=[DisplayCallback()])

아까 전의 예시가 놀라운 성능 발전을 이루어 내었습니다.
테스트 데이터 셋을 넣어보겠습니다.
show_predictions(test_dataset, 3)



만족스러운 결과를 얻을 수 있었습니다.
'데이터 다루기 > Vision (Tensorflow)' 카테고리의 다른 글
| [Tensorflow] Pix2Pix (0) | 2021.06.08 |
|---|---|
| [Vision] DeepDream (딥드림) (1) | 2021.04.21 |
| [Vision] Transfer Learning + Fine Tuning (0) | 2021.04.20 |
| [Vision] Image Augmentation (0) | 2021.04.06 |
| [Vision] CNN을 통한 이미지 분류 (2) | 2021.03.19 |