[Ref] Optimization in Operations Research, Rardin
안녕하세요. 이번에 배울 LP 모델은 Operations Planning Models입니다.
Operations Planning Models을 한글로 직역하면, 조직 계획 모델입니다.
Operations Planning Models은 조직이 계획을 세울 때, 언제 혹은 어디서 해당 문제를 해결하는게 좋은가에 대한 문제에 주로 사용됩니다.
Operations Planning Models이 사용되는 대표적인 예제를 배워봅시다.

문제를 요약하면 다음과 같습니다.
조직이 물건을 생산하는 데, 생산할 수 있는 물건이 여러 종류가 있으며, 생산 할 수 있는 공장 또한 여러 군데가 존재합니다.
그런데, 물건마다 특정 장소에서 생산할 경우, 소모되는 시간과 비용이 다릅니다.
공장마다, 생산 가능한 시간과 물건 마다, 수요에 대한 제약이 있을 때, 최소 비용으로 물건들은 생산하는 방법에 대한 문제입니다.

해당 문제에 대한 LP 모델은 위와 같습니다.
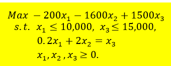
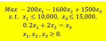
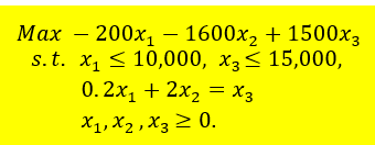
또다른 문제에 대한 예시입니다.

오렌지 쥬스를 만들어 판매하는 업체라고 생각해봅시다.
오렌지 쥬스를 만들 수 있는 방법이 크게 2가지가 있습니다.
첫번째 방법으로 쥬스를 만들경우, 오렌지 1톤당 200달러가 필요하며, 두번째 방법으로 쥬스를 만들경우, 오렌지 1톤당 1600달러가 필요합니다.
그리고 첫번째 방법의 경우, 오렌지 1톤당 0.2톤의 쥬스가 생산되며, 두번째 방법의 경우, 오렌지 1톤당 2톤의 쥬스가 생산됩니다.
이 때, 제약조건으로, 오렌지 쥬스는 15000톤까지 생산할 수 있으며, 첫번째 방법의 경우 오렌지를 10000톤 이상 사용하지 못합니다.
이 때, 최대의 이익을 가져오는 방법은 무엇일까에 대한 문제입니다.

문제에 대한 LP 모델은 위와 같습니다.
보시다시피, 생산하는데 소모되는 비용은 마이너스로 더해지며, 판매비용은 플러스로 더해집니다.
'산업공학 이모저모 > 최적화' 카테고리의 다른 글
| [Optimization] 6. Simplex (0) | 2019.12.24 |
|---|---|
| [Optimization] 5. LP Model (4) Scheduling Models (1) | 2019.09.30 |
| [Optimization] 3. LP Model (2) Blending Models (0) | 2019.09.26 |
| [Optimization] 2. LP Model (1) Allocation Models (0) | 2019.09.26 |
| [Optimization] 1. 최적화란? (0) | 2019.09.26 |