안녕하세요. 이번 포스팅부터는 당분간 Kernel Trick에 대해서 배워볼려고 합니다.
Kernel Trick은 머신러닝을 공부할 때, 굉장히 유용하게 사용됩니다.
따라서, 이 부분을 완벽하게 해 놓으면 실력있는 데이터 사이언티스트가 될 수 있을거에요.
Kernel Trick이 활용 되는 예를 보여드리겠습니다.

아래와 같은 데이터를 빨간색과 파란색을 서로 분류하려고 합니다.
선형으로 이를 분류할 수 있을까요?
절대로 하나의 직선으로는 이를 분류할 수 없습니다. (2개가 필요하겠네요 이 경우는)
하지만 Kernel Trick을 사용해서 이 데이터를 2차원으로 바꿀 수 있습니다.

이 처럼 2차곡선으로 바꿔주면, 직선 한 개에 의해서 완벽하게 분류가 됩니다.
생각해보면 정말 단순한 방법일 수 있습니다.
하지만, 데이터의 개수와 차원이 커질 수록 이러한 Kernel Trick 굉장히 복잡해집니다.
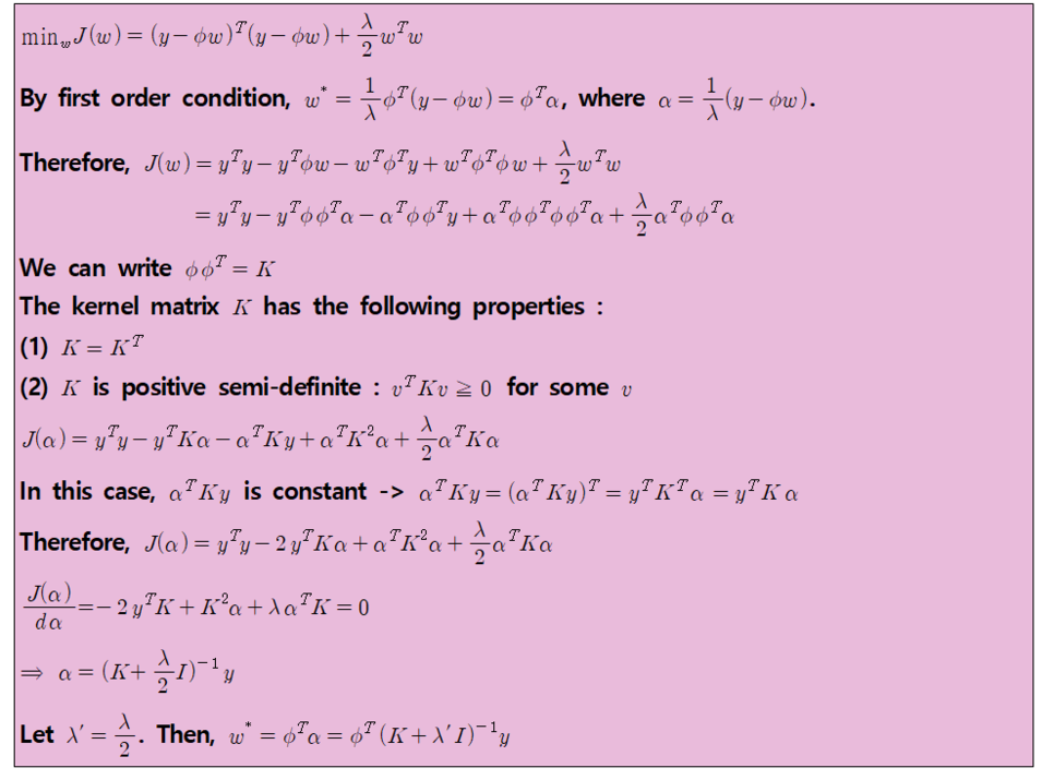
본격적으로, Kernel Trick for Linear Regression 에 들어가기에 앞서 일반적인 Linear Regression을 복습해보겠습니다.

일반적인 Linear Regression의 단점으로 XTX가 역행렬이 존재하지 않는 경우, 계산이 불가능하다는 것입니다.
따라서, 이를 해결하기 위한 Ridge Regression이 있었습니다.
Ridge Regression을 복습해보죠.

같은 방법으로 해를 얻을 수 있습니다.
그런데 이 때, x가 Kernel Trick으로 매핑된 값으로 바뀌면 어떻게 될까요?

여기서 주목하셔야 될 부분이 K입니다.

위 내용이 굉장히 중요합니다.
매핑 함수를 알 필요없이, 커널 함수만 알면 된다는 것입니다.
커널함수로 많이쓰이는 것이 3가지가 있습니다.

이 중에서 가장많이 사용되는 것이 Gaussian (Radial basis) function 입니다.
'데이터 다루기 > 머신러닝 이론' 카테고리의 다른 글
| [머신러닝] Gaussian Process Regression 1. Prior Knowledge (0) | 2019.11.09 |
|---|---|
| [머신러닝] Radial Basis Function Network (0) | 2019.10.31 |
| [머신러닝] Bayesian Network (0) | 2019.10.31 |
| [머신러닝] Naive Bayes Classifier (0) | 2019.10.25 |
| [머신러닝] Optimal Bayes Classifier (0) | 2019.10.24 |