728x90
반응형
ㄸ이번 포스팅에서는 ggplot2 패키지를 활용해서 다양한 ECDF: 경험적 누적 밀도 함수를 그려보도록 하겠습니다.
1. 실습 데이터 정의
set.seed(1234)
df <- data.frame(height = round(rnorm(200, mean=60, sd=15)))
head(df)
<< Result >>
height
1 42
2 64
3 76
4 25
5 66
6 68
이번에 사용할 데이터는 평균이 60, 표준편차가 15인 정규분포에서 200개를 샘플링해서 뽑았습니다.
2. 패키지 불러오기
library(ggplot2)
library 함수를 통해 먼저 ggplot2 패키지를 불러왔습니다.
3. ECDF 꾸미기
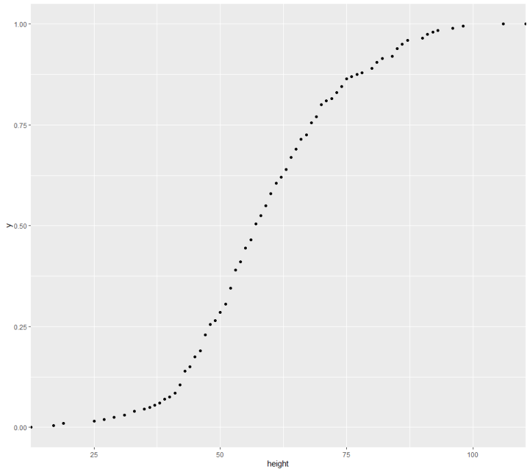
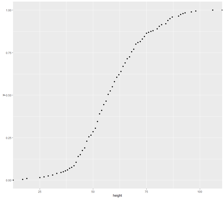
ggplot(df, aes(height)) + stat_ecdf(geom = "point")

ECDF는 stat_ecdf 함수를 통해 그릴 수 있습니다.
geom 인자로 point를 주면 위와 같이 점으로 찍힙니다.
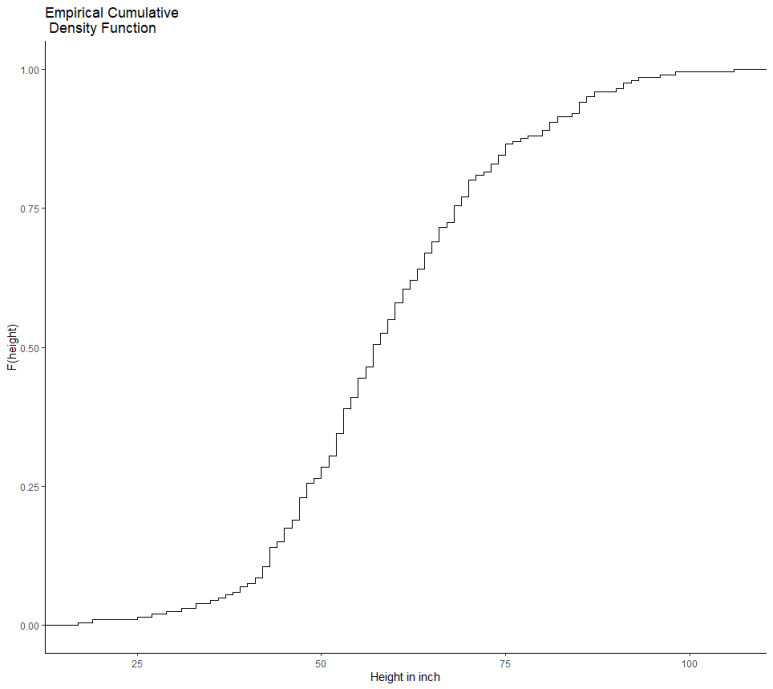
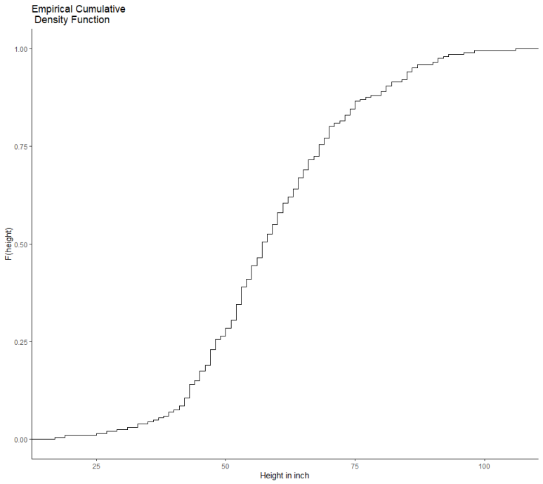
ggplot(df, aes(height)) + stat_ecdf(geom = "step")

반면에, geom 인자로 step으로 주면 위와 같이 계단 형식으로 그려집니다.
# Basic ECDF plot
ggplot(df, aes(height)) + stat_ecdf(geom = "step")+
labs(title="Empirical Cumulative \n Density Function",
y = "F(height)", x="Height in inch")+
theme_classic()

반응형
'데이터 다루기 > 데이터 시각화' 카테고리의 다른 글
| [Python 시각화] Scatter plot (2) (0) | 2022.12.07 |
|---|---|
| [Python 시각화] Scatter plot (점 그래프) (0) | 2022.12.05 |
| [R을 활용한 시각화] 8. ggplot2 (Violin plot) (0) | 2020.12.10 |
| [R을 활용한 시각화] 7. ggplot2 (Histogram) (0) | 2020.12.10 |
| [R을 활용한 시각화] 6. ggplot2 (Pie Chart) (0) | 2020.12.04 |