728x90
반응형
안녕하세요, 이번 포스팅에서도 전역 공간 자기상관성을 확인하는 지표를 배워보도록 하겠습니다.
저번 포스팅에서 배운 Moran`s I 에는 한 가지 단점이 있었습니다.
그건 바로, Moran`s I는 전체 공간에서 특이한 패턴이 나타나는 지점이 있는지를 알 수 있지만, 그 특이한 패턴이 핫스팟인지 혹은 콜드스팟인지를 확인할 수 있는 방법이 없었습니다.
이러한 단점 때문에, Moran`s I라는 개념을 생각해낸 학자가 Getis-Ord 라는 새로운 개념을 도입하였습니다.

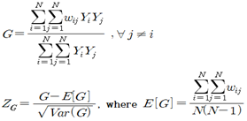
Getis-Ord의 식은 위와 같습니다.
Moran`s I와 마찬가지로 Z 통계량을 생성하여, Z 검정이 진행됩니다.
이 때, G값이 음수이면 콜드스팟을 나타내며, 양수이면 핫스팟을 나타내게 됩니다.
반응형
'통계 이모저모 > 공간 통계' 카테고리의 다른 글
| [공간 통계] 8. 공간 회귀 분석 (Spatial regression) (0) | 2020.02.18 |
|---|---|
| [공간 통계] 7. Heterogeneity (0) | 2020.02.18 |
| [공간 통계] 4. Spatial scan statistics (0) | 2019.09.07 |
| [공간 통계] 3. Spatial Weights Matrix (0) | 2019.08.31 |
| [공간 통계] 5. Moran`s I (0) | 2019.08.28 |