728x90
    
    
  반응형
    
    
    
  [Ref] introduction to probability models (Sheldon Ross)
안녕하세요, 이번 포스팅에서는 포아송 과정에 대하여 배워보는 첫번째 시간이 되겠습니다.
포아송 과정은 응용통계에서 굉장히 중요한 파트로 다루어집니다.
우선 포아송 과정을 배우기 전에 Counting Process에 대해서 알아야합니다.

Counting process는 쉽게 말해서 시간 t동안 발생하는 사건의 수를 나타내는 확률과정입니다.
예를 들어서 1시간에 버스가 오는 수와 같은 경우도 Counting process라고 할 수 있습니다.
Counting process에 대해 알아봤으니 이제 본격적으로 포아송 과정의 정의를 배워봅시다!

포아송 과정은 쉽게 말해서 t 시간 동안 발생하는 사건의 수를 나타내는 확률과정인데, 앞 포스팅에서 배운 정상성과 독립성을 만족하며, 초기에는 사건의 수가 0번이면서, 발생할 사건의 수가 Poisson 분포를 따르는 경우를 말합니다.
다음으로 포아송 과정의 정의를 다르게 표현할 수 있는 정리에 대해서 알아보도록 합시다.
정리에 넘어가기 앞서서 함수하나를 정의하도록 합시다.

o(t) 함수는 t로 나누면서 0으로 보낼 때 0으로 수렴하는 함수입니다. 예를들어서 t2 은 o(t) 함수라고 할 수 있습니다.


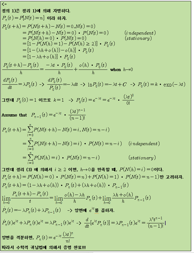
증명 과정이 되게 복잡하죠??
천천히 읽다보면 이해하실 수 있을겁니다~
반응형
    
    
    
  '통계 이모저모 > 응용통계학' 카테고리의 다른 글
| [응용통계] 6. 지수분포 (Exponential Distribution) (2) (0) | 2019.05.28 | 
|---|---|
| [응용통계] 5. 지수분포 (Exponential Distribution) (1) (0) | 2019.05.28 | 
| [응용통계] 4. 포아송 과정 (Poisson Process) (2) (0) | 2019.05.23 | 
| [응용통계] 2. 위너과정 (Wiener Process) (0) | 2019.05.23 | 
| [응용통계] 1. 확률과정 (Stochastic Process) (0) | 2019.05.23 | 
 
									
								 
									
								 
									
								