728x90
반응형
[Ref] 수리통계학 (송명주, 전명식)
안녕하세요, 이번 포스팅 이산형 확률분포의 세 번째 시간입니다.
이번에는 기하분포와 음이항 분포를 다루어 보도록 하겠습니다.

기하분포는 예를 들어서 주사위를 던지는 시행을 할 때, 5의 눈이 처음 나오기 위해서 몇번을 던져야 하는지에 대한 확률변수라고 생각하시면 쉽습니다.
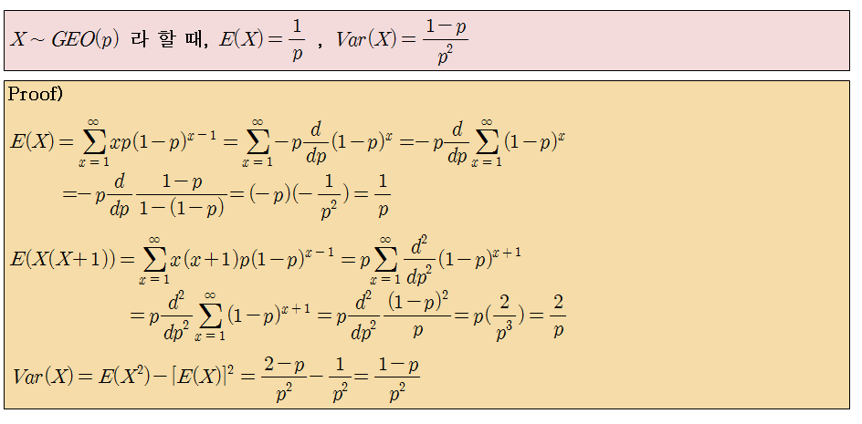
분포에 대해 이해를 했다면 다음 과정은 무엇인지 기억하나요?? 바로 기댓값과 분산을 알아야합니다.

기하분포에서는 꼭 알아야 할 성질이 있습니다. 바로 '비기억성' 입니다.
비기억성은 쉽게 말해서 3번 성공하는데 시행되는 횟수가 6번이라고 할 때, 3번까지 성공이 없더라도 그 상태에서도 다음번에 성공할 확률이 증가하거나하지 않는다는것 입니다.

다음으로 배워볼 분포는 음이항분포입니다.
음이항 분포도 베르누이와 이항분포의 관계와 비슷한 개념으로 이해하시면 됩니다.
음이항 분포는 r개의 '성공'을 얻을 때까지의 시행횟수의 분포라고 생각하시면 됩니다.

음이항분포의 평균과 분산을 알아보고 마치겠습니다.

반응형
'통계 이모저모 > 수리통계학' 카테고리의 다른 글
| [수리통계학] 13. 연속형 확률분포 (1) 균일분포 (0) | 2019.05.24 |
|---|---|
| [수리통계학] 12. 이산형 확률분포 (4) 초기하분포 (0) | 2019.05.24 |
| [수리통계학] 10. 이산형 확률분포 (2) 포아송 분포 (0) | 2019.05.23 |
| [수리통계학] 9. 이산형 확률분포 (1) 베르누이 분포 & 이항 분포 (0) | 2019.05.23 |
| [수리통계학] 8. 확률부등식 (0) | 2019.05.23 |