728x90
반응형
[Ref] 수리통계학 (송명주, 전명식)
안녕하세요, 저번 포스팅까지는 이산형 확률분포에 다루었는데 기억하시죠??
수리통계학을 공부할 때, 분포들은 굉장히 중요하고 앞으로의 내용을 이해하는데 기본이 되는 지식들이므로, 꼭 복습을 하셔서 본인의 것으로 습득하고 가셔야합니다.
이번 포스팅부터는 연속형 확률분포를 다룰 것입니다. 첫번째로 다룰 분포는 균일 분포 (Uniform distribution) 입니다.

균일분포는 굉장히 쉬운 분포입니다. 예를 들어서 확률 변수 X가 (0,1) 상에서 균일분포를 따른다면, (0,1) 내의 어느 점이든 선택될 확률이 다 동일하다고 생각하시면 됩니다.
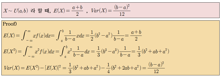
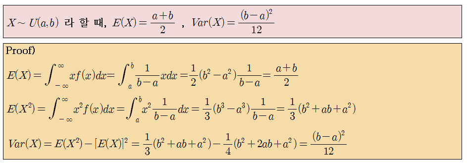
다음으로, 균일 분포의 기댓값과 분산을 계산해보도록 해보겠습니다.

반응형
'통계 이모저모 > 수리통계학' 카테고리의 다른 글
| [수리통계학] 15. 연속형 확률분포 (3) 정규분포 (0) | 2019.05.24 |
|---|---|
| [수리통계학] 14. 연속형 확률분포 (2) 지수분포 (0) | 2019.05.24 |
| [수리통계학] 12. 이산형 확률분포 (4) 초기하분포 (0) | 2019.05.24 |
| [수리통계학] 11. 이산형 확률분포 (3) 기하 분포, 음이항 분포 (0) | 2019.05.24 |
| [수리통계학] 10. 이산형 확률분포 (2) 포아송 분포 (0) | 2019.05.23 |