안녕하세요, 이번 포스팅에서는 Control chart에 대해서 배워보도록 하겠습니다.
Control chart는 이전 포스팅에서 배웠다시피 공정의 이상 여부를 파악하거나, 안정 유지를 위해 사용되는 그래프입니다.

Control chart에는 3가지 중요한 요소가 존재합니다.
관리상한 (UCL), 관리하한 (LCL), 중심선 (CL)으로 위의 그래프에서 보시다시피 3개의 나란한 선이 존재합니다.
눈치채셨겟지만, 관리상한과 관리하한은 공정과정에서 생길 수 있는 오차의 마지노선이고, 그 선을 벗어나면 공정과정에서 이상치로 분류된답니다.
Control chart에는 여러가지 유형이 존재하는데, 우선 크게 2가지로 대분류 될 수 있습니다.
1. 계량치 차트 (확인하고자 하는 변수가 연속형일 때)
- X bar chart

- R chart

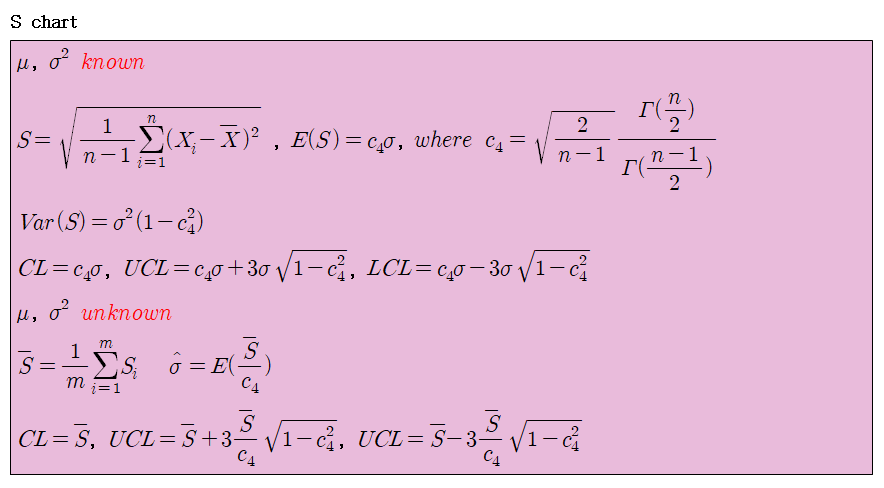
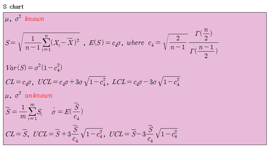
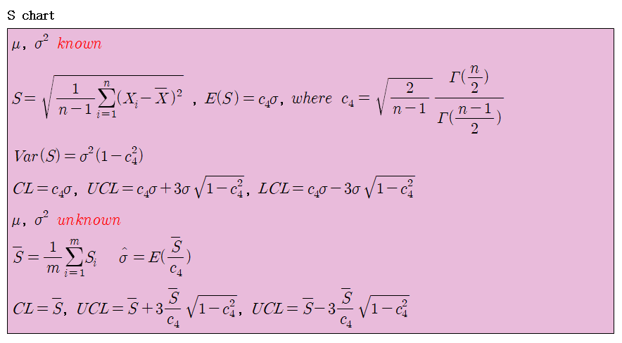
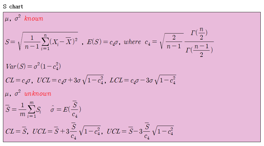
- S chart

일반적으로 R차트와 S차트는 혼자 사용되지 않고, X bar 차트와 같이 쓰입니다.
- CUSUM chart

누적합 관리도 (CUSUM chart)는 표본값의 시퀀스 데이터에서 정보를 통합하기 때문에 목표값에서 벗어나는 작은 이동을 탐지하기에 적합하다.
기존 X bar 차트는 현재의 관측값만을 사용하여 공정의 상태를 판단하기 때문에 공정의 작은 변화나 서서히 일어나는 변화에 민감하지 못함.
- EMWA (Exponentially Weighted Moving Average) chart
EMWA 차트는 민감도를 높이는 절차를 가지는 데, 새로 입력된 값은 λ, 이전까지의 모든 합들은 1-λ만큼 weight를 준다.
이 때 평균 μ는 변하지 않지만, 표준편차 σ는 변하게 된다.


https://en.wikipedia.org/wiki/EWMA_chart
위의 그래프를 보시면, CL은 일정하지만 표준편차가 달라짐에 따라서 UCL과 LCL이 변화한다. 이를 민감도가 높다고 말합니다.
2. 계수치 차트 (확인하고자 하는 변수가 정상의 개수/ 불량의 개수처럼 정수값을 다룰 때)
- P chart
각 품목이 불량인지 아닌지와 같이 이진 분류로 되어 있을 때 사용합니다. 즉 이항분포를 의미한다고 생각하시면 됩니다.
예를 들어서, 제조 공정에서 불량품이 나올 확률을 p라고 합시다. 그리고 한 시점당 n개의 물품을 생산할 때, Xi를 i시점에서 생산된 불량품이 나온 개수라고 해보겠습니다.

- C chart
C chart는 P chart와는 이항 분포가 아닌 포아송 분포를 이용합니다.
한 시점의 공정에 n개의 물품을 생산할 때, X를 그 시점에 나온 불량품의 수라고 정의하고, λ를 포아송 분포의 모수로 불량품의 개수의 평균이라고 합시다.

- U chart
U chart는 C chart와 비슷하게 Poisson 분포를 가정하에 두지만, 차이점은 C chart는 sample당 생산하는 물품의 수가 n으로 일정한 반면 U chart는 생산하는 물품의 수가 다를 수 있습니다. 예를 들어서 1일에는 20개를 생산했을 때, C chart는 1일부터 10일까지 생산 수가 같다는 조건하에 계산을 하지만, U chart는 2일에는 18개를 생산할 수 있고, 3일에는 25개를 생산 할 수 있듯이 생산 수가 같다는 조건이 없습니다.


https://www.pqsystems.com/qualityadvisor/DataAnalysisTools/u_chart.php
- I-MR chart

IMR 차트는 관측치가 시계열로 되있으며, 시간이 지날수록 1개의 관측치가 계속 추가될 때 사용됩니다. (Sample이 없음.)
'산업공학 이모저모 > 품질공학' 카테고리의 다른 글
| [Quality Engineering] 10. 측정시스템 분석 (MSA) (0) | 2019.06.08 |
|---|---|
| [Quality Engineering] 9. 공정 능력 지수 Process Capability Index (0) | 2019.06.08 |
| [Quality Engineering] 7. QC 기법 (0) | 2019.06.08 |
| [Quality Engineering] 6. 다구찌 디자인 (Taguchi Design) (0) | 2019.06.08 |
| [Quality Engineering] 5. Conjoint Analysis (0) | 2019.06.07 |