728x90
안녕하세요. 이번 포스팅에서는 Cramer`s rule에 대해서 배워보도록 하겠습니다.
우선 복습의 용도로 지난번 포스팅에서 배운 식을 가져와봤습니다.

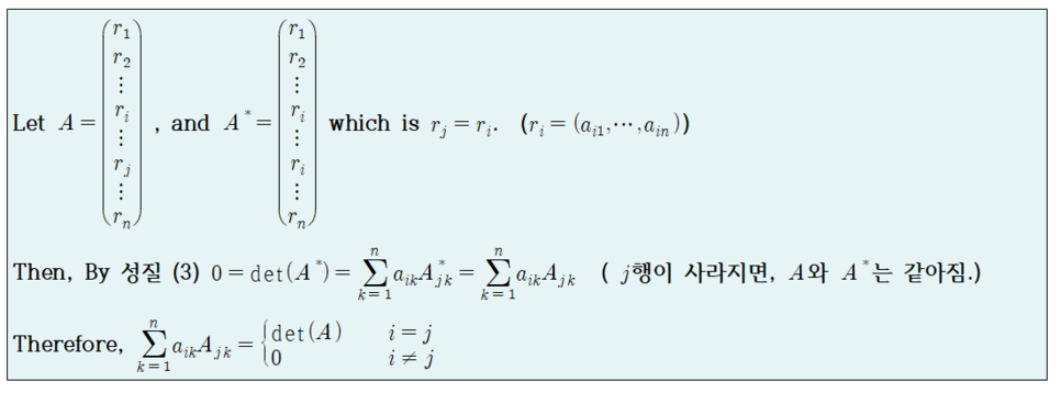
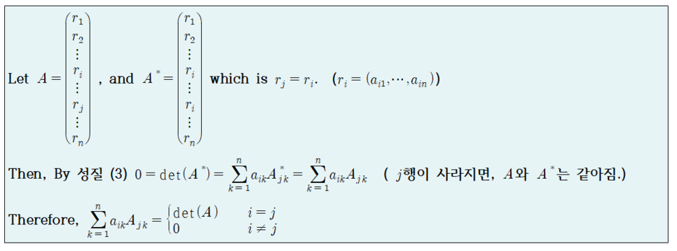
이 식에서 혹시 A 밑에 붙은 i가 a의 i와 다른 값이면 어떻게 될까요?
이 부분을 알기 위해서, 9번째 포스팅에 있던 Determinant의 성질을 가져와보았습니다.

저희가 사용할 성질은 3번째 성질입니다.

이처럼 i와 j가 다르면 행렬식은 0이됩니다.
다음으로, 저희는 adj Matrix를 정의하겠습니다.

즉, adj(A)는 원소를 행렬로 가지는 행렬입니다.
지금까지 배운 내용을 바탕으로, 아래의 정리가 성립합니다.

증명에 대해서는, 그냥 전개해보시면 성립함을 보실 수 있습니다.
이제 Cramer`s rule을 배우기 위한 기초 작업은 끝났습니다.
본격적으로 Cramer`s rule 배워보도록 하겠습니다.

'데이터 다루기 > 선형대수학' 카테고리의 다른 글
| [선형대수학] 16. Dimension (차원) (0) | 2019.10.15 |
|---|---|
| [선형대수학] 15. Basis (기저) (0) | 2019.10.15 |
| [선형대수학] 13. Cofactor expansion (0) | 2019.10.12 |
| [선형대수학] 12. Permutation (치환) (0) | 2019.10.12 |
| [선형대수학] 11. Determinant 관련 중요한 성질 (0) | 2019.10.12 |